TEMAS DEL CURSO DE CÁLCULO DIFERENCIAL.
TEMAS DE MATEMATICAS IV. CÁLCULO DIFERENCIAL BÁSICO. C.E.C. Y T. 1
I. P. N.
VVILLA-M
lunes, 20 de mayo de 2013
GUÍA HA ENTREGAR EL DÍA DEL EXAMEN.
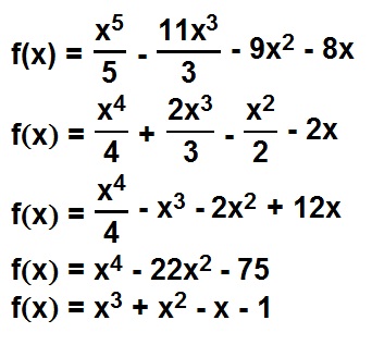
Gráfica las funciones:
Recuerda usar división sintética.
TODOS LOS PROBLEMAS DE OPTIMIZACIÓN QUE SE RESOLVIERON EN CLASE.
TODOS LAS DERIVADAS QUE SE INVENTARON EN CLASE Y LAS QUE FALTEN DE LA GUÍA.
No hay comentarios:
Publicar un comentario
Entrada más reciente
Entrada antigua
Inicio
Suscribirse a:
Enviar comentarios (Atom)
No hay comentarios:
Publicar un comentario